dịch vụ seo từ khoá uy tín info@eportal.vn dịch vụ seo từ khoá uy tín 0969 024 600
Hướng dẫn

dịch vụ seo từ khoá uy tín

 

Hướng dẫn chi tiết công thức tính tổng cấp số cộng dễ hiểu và đầy đủ
22 Tháng Giêng 2026 :: 11:46 SA :: 34 Views :: 0 Comments :: Blog

Trong toán học, cấp số cộng là kiến thức quan trọng giúp giải quyết nhiều bài toán liên quan đến dãy số. Hiểu rõ công thức tính tổng cấp số cộng giúp học sinh tính nhanh, chính xác và áp dụng linh hoạt trong học tập. Cùng tìm hiểu chi tiết qua bài viết dưới đây.
[MỤC LỤC]

Công thức tính tổng cấp số cộng​

1.Khái niệm cấp số cộng và tổng cấp số cộng

Cấp số cộng là một dãy số trong đó mỗi số hạng, bắt đầu từ số thứ hai, bằng số hạng trước nó cộng với một số không đổi gọi là sai số. Sai số thường được ký hiệu là d, số hạng đầu là a₁, và số hạng thứ n là aₙ. Cấp số cộng là một trong những kiến thức cơ bản trong chương trình toán trung học, được áp dụng rộng rãi trong các bài toán tính toán, thống kê và đời sống thực tế.
Tổng cấp số cộng là tổng của tất cả các số hạng trong một cấp số cộng. Biết tổng cấp số cộng giúp dễ dàng giải quyết các bài toán liên quan đến tổng dãy số, đặc biệt khi số hạng lớn hoặc số lượng số hạng nhiều. Tổng cấp số cộng thường được ký hiệu là Sₙ, với n là số lượng số hạng trong dãy.
Hiểu rõ khái niệm cấp số cộng và tổng cấp số cộng là nền tảng quan trọng để học sinh áp dụng công thức tính tổng, phân tích bài toán, và giải các bài tập thực tế một cách chính xác và nhanh chóng.
  
Công thức tính tổng cấp số cộng​
Khái niệm cấp số cộng và tổng cấp số cộng

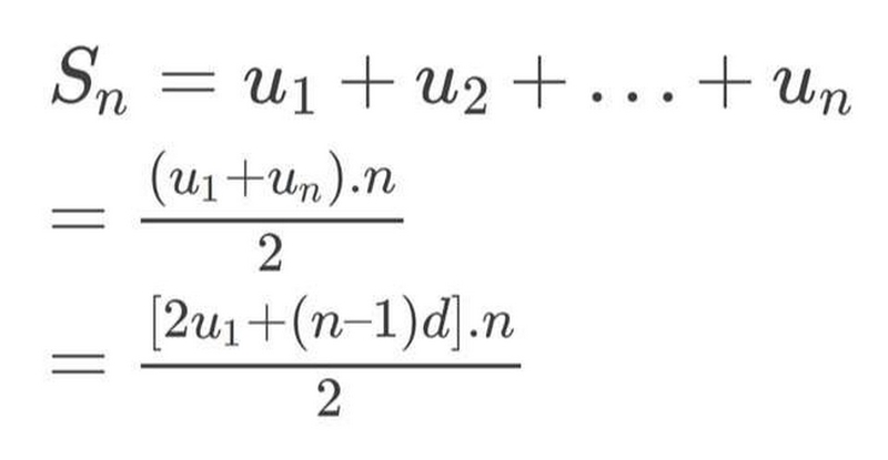
2.Công thức tính tổng cấp số cộng cơ bản

Tổng cấp số cộng là tổng của tất cả các số hạng trong dãy số cộng. Khi biết số hạng đầu (a₁), số hạng cuối (aₙ) và số lượng số hạng (n), công thức tính tổng cơ bản được viết như sau:
Sₙ=(a₁ + aₙ) × n / 2
Trong đó:
Sₙ: Tổng n số hạng đầu của cấp số cộng
a₁: Số hạng đầu
aₙ: Số hạng cuối
n: Số lượng số hạng
Công thức này có thể hiểu là tổng trung bình của số hạng đầu và số hạng cuối nhân với số lượng số hạng, giúp tính nhanh tổng cấp số cộng mà không cần cộng từng số hạng riêng lẻ.
Lưu ý khi áp dụng công thức:
Phải xác định đúng số hạng đầu, số hạng cuối và số lượng số hạng.
Nếu chỉ biết số hạng đầu, sai số (d) và số lượng số hạng, có thể tính số hạng cuối bằng công thức: aₙ=a₁+(n – 1) × d rồi thay vào công thức tổng.
Công thức áp dụng cho mọi cấp số cộng, kể cả khi n lớn hoặc số hạng không liên tiếp bằng đơn vị.
Hiểu rõ công thức tổng cơ bản là bước quan trọng để giải quyết các bài toán cấp số cộng một cách nhanh chóng và chính xác.
Công thức tính tổng cấp số cộng​
Công thức để tính tổng cấp số cộng theo sai số

3.Công thức tính tổng cấp số cộng theo sai số

Trong một cấp số cộng, nếu biết số hạng đầu (a₁), sai số (d) và số lượng số hạng (n), tổng n số hạng đầu của dãy có thể tính nhanh bằng công thức:
Sₙ=n/2 × [2a₁+(n – 1)d]
Trong đó:
Sₙ: Tổng n số hạng đầu của cấp số cộng
a₁: Số hạng đầu
d: Sai số của cấp số cộng
n: Số lượng số hạng
Công thức này xuất phát từ việc thay thế số hạng cuối aₙ trong công thức tổng cơ bản bằng:
aₙ=a₁+(n – 1)d
Do đó, công thức tổng cấp số cộng theo sai số cho phép tính tổng nhanh chóng mà không cần xác định số hạng cuối, rất hữu ích khi chỉ biết số hạng đầu, sai số và số lượng số hạng.

Lưu ý khi áp dụng:

Sai số d có thể là số dương hoặc số âm tùy dãy tăng hay giảm.
Phải đảm bảo tính đúng số lượng số hạng n để kết quả chính xác.
Công thức áp dụng cho mọi cấp số cộng đều có sai số bằng nhau, không áp dụng cho dãy không phải cấp số cộng.
Hiểu và áp dụng thành thạo công thức này giúp học sinh giải các bài toán tổng cấp số cộng nhanh, chính xác và linh hoạt hơn trong các tình huống thực tế.
  
Công thức tính tổng cấp số cộng​
Ví dụ minh họa và bài tập áp dụng

4.Ví dụ minh họa và bài tập áp dụng

Để nắm vững công thức tính tổng cấp số cộng, việc áp dụng qua ví dụ minh họa và bài tập thực hành là rất quan trọng.
Ví dụ 1: Tính tổng cấp số cộng khi biết số hạng đầu và số hạng cuối
  Cho dãy số: 2, 5, 8, … , 20.
Xác định số hạng đầu a₁=2, số hạng cuối aₙ=20, số lượng số hạng n=7.
Áp dụng công thức tổng cơ bản:
  Sₙ=(a₁ + aₙ) × n / 2=(2 + 20) × 7 / 2=22 × 3.5=77
  Vậy tổng 7 số hạng đầu của dãy là 77.
Ví dụ 2: Tính tổng cấp số cộng khi biết số hạng đầu và sai số
  Cho dãy số cộng có số hạng đầu a₁=3, sai số d=4, và số lượng số hạng n=10.
Áp dụng công thức tổng theo sai số:
  Sₙ=n/2 × [2a₁+(n – 1)d]=10/2 × [2× 3+(10– 1)× 4]=5 × [6+36]=5 × 42=210
  Vậy tổng 10 số hạng đầu của dãy là 210.
Bài tập áp dụng:
Tìm tổng 15 số hạng đầu của dãy số 1, 4, 7, …
Một cấp số cộng có số hạng đầu là 5, sai số 3, tìm tổng 20 số hạng đầu.
Cho dãy số: 6, 10, 14, … , 50. Tính tổng tất cả số hạng của dãy.
Hướng dẫn làm bài tập:
Xác định số hạng đầu, số hạng cuối (nếu biết) hoặc sai số và số lượng số hạng.
Chọn công thức tổng phù hợp: Sₙ=(a₁ + aₙ) × n / 2 hoặc Sₙ=n/2 × [2a₁+(n– 1)d].
Thay số và tính toán chính xác.
Việc luyện tập nhiều bài toán sẽ giúp học sinh nắm vững công thức, tính toán nhanh và chính xác, đồng thời áp dụng linh hoạt trong nhiều dạng toán khác nhau.

5.Lưu ý và mẹo tính nhanh tổng cấp số cộng

Để tính tổng cấp số cộng nhanh và chính xác, học sinh cần nắm vững các lưu ý quan trọng và mẹo ghi nhớ công thức.
Lưu ý khi sử dụng công thức tổng cấp số cộng
Xác định đúng số hạng đầu (a₁), số hạng cuối (aₙ), số lượng số hạng (n) hoặc sai số (d) trước khi áp dụng công thức.
Khi dùng công thức theo sai số, nhớ rằng d có thể âm hoặc dương tùy dãy tăng hay giảm.
Đảm bảo rằng dãy số thực sự là cấp số cộng; công thức tổng không áp dụng cho dãy số không đều.
Kiểm tra lại kết quả bằng cách tính ngược, ví dụ tính trung bình số hạng đầu và cuối rồi nhân với số lượng số hạng.
Mẹo ghi nhớ công thức nhanh
Công thức tổng cơ bản: Sₙ=(a₁ + aₙ) × n / 2 → “ trung bình đầu và cuối × số hạng”
Công thức theo sai số: Sₙ=n/2 × [2a₁+(n – 1)d] → “ số hạng đầu × 2+sai số × (số hạng – 1), nhân n/2”
Khi số hạng cuối chưa biết, luôn tính aₙ=a₁+(n – 1)d trước khi thay vào công thức tổng cơ bản.
Sử dụng mẫu số dễ nhớ: chia n cho 2, nhân tổng trung bình hoặc tổng biểu thức trong ngoặc.
Mẹo tính nhanh trong bài tập lớn
Nhóm các số hạng thành cặp đầu+cuối, thứ hai+áp cuối, tính từng cặp trước rồi nhân với số cặp.
Áp dụng công thức trực tiếp thay vì cộng từng số hạng riêng lẻ, đặc biệt khi số lượng số hạng lớn.
Khi làm bài kiểm tra, ghi công thức ra giấy trước, sau đó thay số để tránh nhầm lẫn.
Nắm vững các lưu ý và mẹo này sẽ giúp học sinh tính tổng cấp số cộng nhanh, chính xác, áp dụng linh hoạt cho mọi bài toán, từ bài tập cơ bản đến bài toán thực tế.
Trên đây, chúng tôi vừa hướng dẫn chi tiết về công thức tính cấp số cộng, bao gồm khái niệm, công thức cơ bản và theo sai số, ví dụ minh họa, bài tập áp dụng cũng như mẹo tính nhanh. Hy vọng bài viết về công thức tính tổng cấp số cộng sẽ giúp học sinh nắm vững kiến thức, tính toán nhanh chóng và chính xác trong học tập.
Nếu cần sử dụng các dịch vụ liên quan đến thiết kế web, chạy quảng cáo Facebook, SEO web hoặc các giải pháp trực tuyến khác, hãy liên hệ Công ty TNHH Cổng Thông Tin Điện Tử Trực Tuyến:
📍 Địa chỉ: Tầng 4, tòa nhà Thanh Long, số 134 Mai Anh Tuấn – Hồ Hoàng Cầu – Đống Đa – Hà Nội
📞 Hotline: 0969 024 600 / 024 62 733 721
 
Comments
Hiện tại không có lời bình nào!
  Đăng lời bình

Trong phần này bạn có thể đăng lời bình





Gửi lời bình   Huỷ Bỏ

Tin bài liên quan

Bướm bay vào nhà là điềm gì? Giải mã ý nghĩa tâm linh chi tiết 22/01/2026
Nốt ruồi phú quý trên mặt phụ nữ và ý nghĩa may mắn, tài lộc 22/01/2026
Đường lưỡi bò là gì? Giải thích chi tiết và ý nghĩa trên bản đồ biển 22/01/2026
Toán Văn Sử là khối gì? Giải thích chi tiết chương trình thi THPT 22/01/2026
Hướng dẫn chi tiết cách viết bản kiểm điểm cấp 2 đầy đủ và dễ hiểu 22/01/2026
Khám phá tác dụng của biện pháp tu từ so sánh trong văn học Việt Nam 22/01/2026
Học tiếng Anh lớp 5 Unit 5 Lesson 3 hiệu quả cùng bài tập minh họa 22/01/2026
Tổng hợp font chữ không chân việt hoá đẹp cho thiết kế chuyên nghiệp 22/01/2026
Top phần mềm SEO Facebook miễn phí giúp tăng tương tác và hiệu quả 22/01/2026
Bướm Bay Vào Nhà Là Điềm Gì Và Cách Ứng Xử Chuẩn Phong Thủy 08/01/2026
Nốt Ruồi Phú Quý Trên Mặt Phụ Nữ Theo Nhân Tướng Học 08/01/2026
Đường Lưỡi Bò Là Gì? Tìm Hiểu Nguồn Gốc, Vị Trí Và Cách Nhận Biết 08/01/2026
Toán Văn Sử Là Khối Gì Và Cơ Hội Nghề Nghiệp Sau Khi Chọn Khối 08/01/2026
Công Thức Tính Tổng Cấp Số Cộng Chuẩn Nhất Cho Học Sin 08/01/2026
Cách Viết Bản Kiểm Điểm Cấp 2 Đúng Chuẩn Nhà Trường Mới Nhất 08/01/2026

   DỊCH VỤ
   DỊCH VỤ NỔI BẬT
   TIN TỨC
Cách SEO web hiệu quả giúp website tăng trưởng bền vữngCách SEO web hiệu quả giúp website tăng trưởng bền vững
Tạo website bán hàng miễn phí: Giải pháp khởi đầu kinh doanh hiệu quảTạo website bán hàng miễn phí: Giải pháp khởi đầu kinh doanh hiệu quả
Cách tự tạo website trực tuyến miễn phí dễ dàng, nhanh chóng.Cách tự tạo website trực tuyến miễn phí dễ dàng, nhanh chóng.
Thiết kế website bán hàng miễn phí có những ưu điểm gì?Thiết kế website bán hàng miễn phí có những ưu điểm gì?
Hướng dẫn thiết kế website bán hàng miễn phí đơn giản.Hướng dẫn thiết kế website bán hàng miễn phí đơn giản.
Hướng dẫn tự thiết kế website toàn tập dễ hiểu, hiệu quả cao.Hướng dẫn tự thiết kế website toàn tập dễ hiểu, hiệu quả cao.
Tự thiết kế website cá nhân miễn phí nhanh chóng và hiệu quả.Tự thiết kế website cá nhân miễn phí nhanh chóng và hiệu quả.
Cách tự tạo website trực tuyến miễn phí chỉ với vài bước đơn giảnCách tự tạo website trực tuyến miễn phí chỉ với vài bước đơn giản
Hướng dẫn cách tạo website cá nhân miễn phí đơn giản Hướng dẫn cách tạo website cá nhân miễn phí đơn giản
Hướng dẫn làm website miễn phí đơn giản cho người mới bắt đầu.Hướng dẫn làm website miễn phí đơn giản cho người mới bắt đầu.
   HỖ TRỢ TRỰC TUYẾN

   PHẢN HỒI DỊCH VỤ
Email
Tên
Tiêu đề
Tin nhắn
Gửi thông tin

 
Thiết Kế Website trọn gói Eportal, chuyên dịch vụ thiết kế website chuyên nghiệp giá rẻ, tương thích di động
  
Sáng tạo không ngừng nghỉ, ý tưởng luôn đổi mới, quy trình chuẩn hóa quốc tế.
Thiết Kế Website trọn gói Eportal, chuyên dịch vụ thiết kế website chuyên nghiệp giá rẻ, tương thích di động
Công ty TNHH cổng thông tin điện tử trực tuyến
Thiết Kế Website trọn gói Eportal, chuyên dịch vụ thiết kế website chuyên nghiệp giá rẻ, tương thích di động

Giới thiệu

Chính sách bảo trì
Mã Số Thuế: 01 04 08 96 76
Thiết Kế Website trọn gói Eportal, chuyên dịch vụ thiết kế website chuyên nghiệp giá rẻ, tương thích di động
0969 024 600
0979 645 600
Thiết Kế Website trọn gói Eportal, chuyên dịch vụ thiết kế website chuyên nghiệp giá rẻ, tương thích di động
info@eportal.vn
Thứ 2 - Thứ 6 8h đến 17h30
Thiết Kế Website trọn gói Eportal, chuyên dịch vụ thiết kế website chuyên nghiệp giá rẻ, tương thích di động
Tầng 4 số 134 Mai Anh Tuấn
Đống Đa - Hà Nội
Địa chỉ: Tầng 4 toà nhà Thành Long số 134 Mai Anh Tuấn - Hồ Hoàng Cầu - Đống Đa - Hà Nội

Thiết Kế Website trọn gói Eportal, chuyên dịch vụ thiết kế website chuyên nghiệp giá rẻ, tương thích di động
Thiết Kế Website trọn gói Eportal, chuyên dịch vụ thiết kế website chuyên nghiệp giá rẻ, tương thích di động
Thiết Kế Website trọn gói Eportal, chuyên dịch vụ thiết kế website chuyên nghiệp giá rẻ, tương thích di động
info@eportal.vn
Thiết Kế Website trọn gói Eportal, chuyên dịch vụ thiết kế website chuyên nghiệp giá rẻ, tương thích di động
Tầng 4 toà nhà Thành Long số 134 Mai Anh Tuấn - Hồ Hoàng Cầu - Đống Đa - Hà Nội
Thiết Kế Website trọn gói Eportal, chuyên dịch vụ thiết kế website chuyên nghiệp giá rẻ, tương thích di động

02 Tháng Hai 2026    Đăng Ký   Đăng Nhập 
Copyright by Eportal | Thỏa Thuận Dịch Vụ | Bảo Vệ Thông Tin